Отель
40 000 000
Туризм и отдых
Россия, Москва
Контекстная реклама в Яндексe
Ноябрь 2022
Я Артем Романов, руководитель агентства РВС. Хотелось бы поделиться кейсом, над которым работали весь этот год.
В ноябре 2021 обратился заказчик. Отель в Сочи. Жалобы стандартные, реклама плохо работает, подрядчики плохие и все в том же духе. Ну ок, приступаем.
После серии аудитов рекламных каналов, было обнаружено множество критичных проблем, которые требовали скорейшего реагирования. Но главная проблема заключалась в том, что все чего-то запускали, пробовали, тестировали не понятно, для чего и зачем. У каждого специалиста был какой-то свой подход и свое видение ситуации. Рекламные бюджеты хорошие, но они все тратились мимо… Понятно, что так дело не пойдет и первое что начали делать – это комплексный документ, которому будет подчиняться и считаться весь диджитал. А именно – стратегия интернет-маркетинга.
На разработку стратегии ушло ровно два месяца, ноябрь и декабрь 2021. В состав документа вошло:
- Аудиты текущих рекламных каналов (контекст, таргет, медийка, смм)
- Качественный анализ целевой аудитории (соцдем, портреты, потребности,
- Анализ репутации (общая оценка следа, уровень лояльности, рекомендации по работе с репутацией)
- Юзабилити-аудит
- Конкурентный анализ
- SWOT
- Составление воронки и Customer Journey Map
- Определение ключевых целей и KPI’s
- Медиапланирование
В общей сложности документ составил 54 страницы. Успешно защитив стратегию перед руководством, договорились о полном внедрении с моей стороны и подписали договора на 12 месяцев. Фронт работ был огромен, но мы восприняли это как личный вызов и уже с 3 января 2022 года с головой ушли в работу.

Тут особо много расписывать не буду. Все стандартно.
Собираем ядро, чистим от информационки и всего лишнего.
Сегментируем сперва по "верхним" категориям ЦА. И далее в каждой идем вниз, разбивая ее на более мелкие по болям, желаниям и важным условиям более мелких целевых групп аудитории.
В объявлениях релевантный оффер под каждый сегмент и его посадка на максимально релевантную страницу. К большому сожалению, не могу привести структуры выделенных сегментов...это конечно же тайна клиента, но попозже расскажу как раз про более интересное разделение РК по "интересу" к бренду отеля, что и дало результат.
Запуск. Ведение. Настройка аналитики
Первичный запуск на самом деле оказался малоэффективным.
Запустили просто поисковые РК, пусть и хорошо сегментированные, но без внятной аналитики по целям. Т.е. да, трафик шел, но было трудно понять какой хороший, а какой плохой из-за кучи целей и непонятности по какой нужна оптимизация.
После этого сделали 2-основные аудитории на сайте, по которым и стали оптимизировать и оценивать работу РК:
1. сделали набор целей, выявляющих "активную" аудиторию, т.е. тех, кто вовлекается в воронку продаж на начальных стадиях (воронка была из 5 шагов, я решил определять активных по достижению 2-го шага).
2. "пре-лиды", такая аудитория, которая вот-вот готова совершить заветное действие. Для этого выбрал 4 шаг в воронке продаж и по нему сделал набор целей.
По итогу получилась очень удобная система, разделяющая все на 2 большие аудитории (активных и прелидов/лидов), которую сейчас внедряем почти во все свои проекты. Очень удобно по ней оптимизировать РК. В том числе на автостратегиях и МК получаются просто огненные результаты. После работы с аналитикой добавили еще дубли РК на автостратегии с оплатой за CPA и мастер кампаний (МК).
Это уже дало отличную динамику в управляемости и главное в оцениваемости трафика, т.е. были выведены цены для активной и пре-лидовой аудитории.
Но все-таки результаты не совсем устраивали... так как было +- по поисковым РК как и прежде. Начали рыть дальше.
Запустили РСЯ и в разрезе данной аналитики увидели, что она вообще не дает пре-лидовую аудиторию, только активную, но и то в малом объеме и по цене в 3 раза выше, чем поиск.
И тут осенило.
В данной нише критическую роль играет "теплота" аудитории.Т.е. тут прям классически горячая аудитория вовлекается и покупает, теплая только вовлекается, а чтобы холодную даже просто вовлечь, требуются отдельные спец. воронки. На общие их нельзя гнать.
Эта мысль, собственно, и была ключевой. Далее, все в третий раз перенастроили и выстроили структуру рекламного кабинета по интересу к бренду. Самая горячая - по бренду.
- по ближайшему ГЕО - отели рядом - ищут просто отели в СочиКак видите идет прямо классическое распределение от заинтересованной что покупает, до менее заинтересованной что ничего не покупает, а максимум смотрит.И это привело: - к точному распределению бюджета для РК на разных стадиях по воронке - остановке и пониженной ставке по далеким от текущей CPA цены РК - к пониманию куда идти и как развивать РК дальше.
На основе портретов ЦА (горячая, теплая, холодная) решили запустить охватную рекламу с тремя промо-роликами продолжительностью 60 секунд.
Подключили Метрику для медийной рекламы и установили пиксели Яндекс Аудиторий в каждое объявление.
Это дало:
- дополнительные данные об аудитории, которой была показана медийная реклама: возраст, пол, интересы, гео
- данные о количестве заявок от тех, кто видел медийку
Все три кампании были запущены на стратегии Оплата за просмотры, с условием не более 5 показов на пользователя за 3 дня.
Благодаря пикселю, собирали всех, кто видел медийку и повышали ставку на этих пользователей в рк на поиске и РСЯ.
Далее, запустили ретаргет со спецпредложением отеля, догоняя тех, кто посмотрел медийный проморолик на 50%, 75% и 100% досмотра.
Медийка позволила привести на сайт новую аудиторию и продолжить с ней взаимодействие в сетях. Чтобы медийная реклама работала, нужно выстроить цепочку — собирать базу и догонять ретаргетингом.

SEO канал оказался личной Симфонией №5 и сразу спойлер - SEO по итогам стало лидером по генерации дохода среди всех. Когда в начале разработки стратегии оперировали данными по seo, заказчик делал круглые глаза и понятия не имел что это такое и нужно ли это вообще.
Самое сложное, после всех многочисленных переговоров и совещаний, мне все таки удалось продавить работы по данному направлению, но мне поставили одно условие - у меня не будет вообще никаких доступов к сайту. Все работы проводить через составление ТЗ вообще на все и дальнейшей их передачи инхаус команде разработчиков. Понимаете? Это как проводить операцию на сердце через видеозвонок по телеграму, руками случайного прохожего.
Анализ выдачи показал, что в топе засилье агрегаторов-мастодонтов, но потенциал трафика по категорийным запросам будоражил воображение. Поэтому было принято решение, что пилим и внедряем внутри сайта свой “фейковый” агрегатор. Это звучало безумно, но эффект превзошел все ожидания.
- Собрали семант на 40к запросов
- Кластеризовали
- Сделали прототипы агрегаторных страниц
- Подогнали текстовую оптимизацию
Данные по Яндекс Метрике с 01.01.2021 по 01.12.2021

Данные по Яндекс Метрике с 01.01.2022 по 30.11.2022

Под Яндекс
На старте полили директ на новые страницы, преследуя две цели - 1) проверить конверсию новых страниц (устроила, оставили как есть) 2) Нагнать первые поведенческие факторы.


Под Google
Для получения уникальных индивидуальных ссылок (которых никогда не будет у конкурентов) была построена PBN сеть на аукционных дроп доменах. Так же, 100% тематические дроп домены были использованы для подклейки (более 15 штук). Гугл отреагировал стабильным, конверсионным и растущим трафиком. В связи с некоторыми событиями, трафик с гугла стал трендом 2022 года и мы в очередной раз убедились что все сделали правильно.
Перво-наперво был проведен аудит изысканий предыдущих таргетологов. И на первый взгляд все казалось чин-чинарем: вроде и аудитории подобраны по интересам, вроде и аудитории конкурентов используем, и по активностям, и LAL по посетителям сайта, однако продаж за пол года и 500 т.р. бюджета так и не было. Ну, может одна на 30 т.р. :)
Так как у каждого канала коммуникации должна быть своя понятная цель, то начали именно с этого. Объяснили заказчику, что продажа в социальных сетях - это не директ, где у человека уже есть сформированный спрос. Здесь важна реальная коммуникация или прогрев аудитории, ибо социальная сеть - в первую очередь социальная, а не магазин Десяточка, т.е. за покупками сюда целенаправленно не приходят.
Так или иначе цель была определена - допродать тому, кто еще не купил, но уже теплый. Был определен цикл сделки и на его основе продолжена дальнейшая работа по созданию рекламных материалов.
Были разработаны три связки “крео+аудитория” для тестов:
1. Аудитория по “золотому сегменту” покупателей - Ж 35-45 - с прогревочными офферами по контекстному таргетингу “отелей сочи” и сопуствующее;
2. Аудитория посетителей сайта не совершивших покупку, дошедших до конкретного этапа микроворонки.
Им предлагался оффер с лид-магнитом в виде скидки на проживание, после чего, по задумке, работу в сообщениях сообщества должен был продолжить менеджер отдела бронирования.
Не срослось - от нас ждали продажи “здесь и сейчас”, вовлекать брониста на работу с еще одним каналом отказывались, ибо лиды из контекста и SEO уже шпарили так, что бронистам приходилось запасаться едой на рабочем месте, времени поесть не оставалось (шучу). Хотя связка огненная, может потом к ней вернемся;
3. Ретаргетинг на посетителей конкретных разделов сайта, изучавших конкретный из 4 отелей.
Оффер был тем же, что и выше - скидка на проживание. Данная связка показала наилучший результат на ряду со связкой с сообщениями в ЛС, однако не требовала участия брониста.
Помимо данных связок выстраивается полная воронка продажи внутри ВК - там и первое касание, и прогрев, и все-все-все как в “большом интернете”.
По итогам работ таргетированная реклама начала, наконец-то, окупать себя и приносить прибыль - ROI по прошествии месяца после запуска проработанных РК составил 883%.
В первые два месяца усиленно качали и гугл эдс и фб и инсту, но… В течение года также велись различные эксперименты на различных площадках.В кейсе также не упомянуты работы по внедрению связок с квизами, посевами в каналах телеги, чат-боты, сквозную аналитику и наверное много чего еще, но как говориться - это уже совсем другая история…
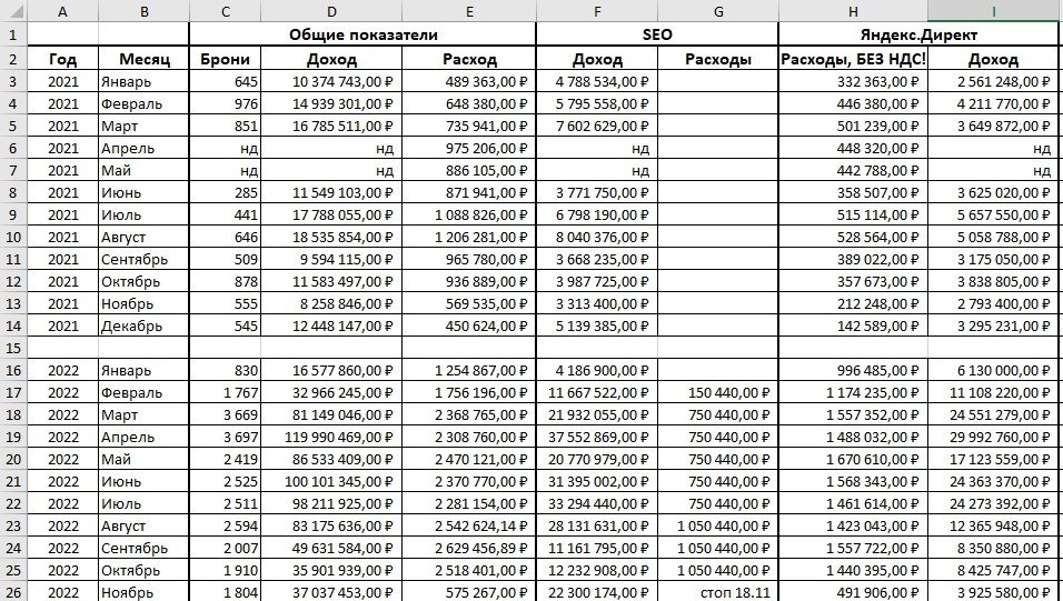
Итоговая таблица

![]()
Артем Романов
Генеральный директор (CEO)
Продлили договор на 2023 год. Ждем новых рекордов!