Номинируйте кейсы на Workspace Digital Awards 2026. Прием заявок до 16 декабря по льготной цене, успейте принять участие!
Назад
#Веб-разработка#Мобильная разработка#Менеджмент

Как рассчитать бюджет и сроки проекта на разработку, чтобы не выйти за рамки

7723 
 

Задача проектного менеджера — довести проект до конца, не выходя за рамки сроков и бюджета. Это сложнее, чем кажется: например, если у сайта уникальный функционал, чтобы приблизиться к попаданию в «яблочко», нужно рассчитать все задачи с точностью до трудочаса. Выход за рамки обернется недовольством со стороны заказчика, а дополнительные траты он может вовсе не согласовать.

Чтобы успешно выполнить проект, расчет его бюджета и сроков делается в несколько этапов. Даже при таком подходе не получится все рассчитать идеально и остается риск выйти за рамки проекта, но такой подход лучше, чем назвать цену и сроки после пары созвонов.

Делимся методологией эффективного определения стоимости разработки и ее сроков.

Если вы хотите приблизительно оценить стоимость вашего проекта — воспользуйтесь нашим калькулятором digital-услуг. Если вы в поисках хорошего подрядчика — создайте тендер на сайте Workspace. На нашей площадке зарегистрировано около 20 000 digital-агентств, среди которых вы точно найдете подходящего исполнителя. Workspace — это тендерная площадка № 1 в сфере digital. Здесь вы можете заказать сайтпродвижение карточек на маркетплейсах, контекстную кампанию, создание видеоролика и многое другое.

Как рассчитать бюджет и сроки проекта на разработку, чтобы не выйти за рамки Читайте также: Тренды в управлении проектами 2023-2024: роботы и гиперавтоматизация бизнеса

Расчет бюджета и сроков проекта: этапы

Существует два вида подсчета бюджета:

  • фиксированный бюджет (fix price);

  • оплата по факту выполнения работ (time & material).

Если заказчик обращается к исполнителю за разработкой проекта с нуля, от исполнителя ожидается расчет фиксированного бюджета. Оплату по факту чаще используют, когда продукт находится на техподдержке у агентства. Иногда эти подходы сочетаются, но мы рассмотрим подсчет фиксированного бюджета как наиболее вероятный вариант.

При переговорах агентства с заказчиком проект постепенно обретает форму. В академической программе MBA выделяют четыре типа оценки бюджета, которые возникают на разных стадиях жизни проекта:

  • Грубый порядок величины (row order of magnitude) — «грязная» вилка цен, которую подрядчик может озвучить на первичном этапе переговоров.

  • Порядок величины (order of magnitude) — вилка цен, которая становится известна после инициации проекта — определения его функционала и границ после серии переговоров.

  • Бюджетная оценка (budget estimate) — стоимость с погрешностями, рассчитанная исходя из рамок проекта и данных о трудозатратах, предоставленных тимлидом будущей проектной команды.

  • Точная оценка (definitive estimate) — окончательный бюджет, рассчитанный менеджером проекта с учетом рисков, издержек и согласованный с заказчиком перед разработкой.

Как рассчитать бюджет и сроки проекта на разработку, чтобы не выйти за рамки

Иллюстрация показывает, насколько сильно расчет бюджета проекта может отличаться от его фактической стоимости. Изображение взято с сайта its.1c.ru

Разберем отдельные этапы бюджетирования проекта на разработку и расскажем, что на этих этапах требуется сделать исполнителю.

Как рассчитать бюджет и сроки проекта на разработку, чтобы не выйти за рамки Читайте также: Как организовать работу удаленных и распределенных команд: правила и подборка сервисов

1 этап. Инициация и определение границ проекта

Инициация проекта — это начало работ по его планированию, во время которого исполнитель с заказчиком совместно определяют условия выполнения задачи. То есть, после череды собеседований агентство понимает, какой функционал должен быть у продукта, а какой — не должен. Иначе говоря, определяются границы проекта.

Для определения границ, менеджеру проекта нужно выявить всех ключевых участников проекта от заказчика и узнать, что они хотят от будущего продукта. Ключевыми участниками проекта могут быть сам заказчик, инвестор, а также специалисты со стороны заказчика: например, системный администратор. Проектный менеджер должен учесть все их требования и согласовать их с лицом, принимающим решения.

На этом этапе для предварительной оценки проекта используется метод «сверху-вниз» (top down estimate). Проджект-менеджер декомпозирует будущий проект на отдельные задачи и примерно оценивает ресурсозатраты, находя схожие задачи в предыдущих проектах.

После определения границ проекта агентство отправляет клиенту первичное коммерческое предложение с ценовой вилкой, стоимость которой может быть меньше на 75 % от фактического бюджета. И после всего этого клиент может отказаться от услуг.

Как рассчитать бюджет и сроки проекта на разработку, чтобы не выйти за рамки

Инициация разработки сложного продукта может занять пару недель

Егор Хохрин:

Руководитель отдела веб-разработки в Riverstart.ru

Исходя из нашего опыта, часто уже на первом этапе проекта привлекают тимлида или технического директора компании для уточнения технологического стека. Это может сильно влиять на стартовую стоимость и сроки проекта в момент его инициации. Не все команды имеют широкую экспертизу по разным стекам, доступным для решения одной и той же задачи, и это может быть ограничивающим фактором для дальнейшей оценки и подготовки КП.

Как рассчитать бюджет и сроки проекта на разработку, чтобы не выйти за рамки Читайте также: Точка безубыточности проекта: что это такое и как посчитать

2 этап. Оценка ресурсозатрат проектной группы

После того, как границы проекта определились, а заказчик принял первичное КП, к планированию бюджета подключается тимлид будущей проектной команды. На этом этапе тоже ведутся переговоры с заказчиком, когда в процессе поисков оптимальных решений у агентства возникают частные вопросы.

От тимлида требуется:

  • погрузиться в проект и разработать его архитектуру;


  • Разместите
    тендер бесплатно

    Наша система сама подберет вам исполнителей на услуги, связанные с разработкой сайта или приложения, поисковой оптимизацией, контекстной рекламой, маркетингом, SMM и PR.

    Заполнить заявку 13163 тендера
    проведено за восемь лет работы нашего сайта.


    обозначить ресурсы, требуемые для выполнения проекта;

  • собрать проектную команду и вместе с менеджером проекта сформировать детализацию трудозатрат в конкретных задачах и примерном времени на их выполнение.

Егор Хохрин:

Руководитель отдела веб-разработки в Riverstart.ru

Наш опыт показывает, что этапы «порядок величины» и «бюджетная оценка» объединяются в один, так как уже на инициации проекта бывает достаточно данных для проведения детальной оценки. Основное преимущество такого подхода — это скорость в предоставлении заказчику оценки и важный фактор в конкурентной борьбе. Опытные менеджеры в зависимости от своих компетенций часто могут сами выставить примерные оценки некоторых этапов проекта и привлечь тимлида к оценке меньшего объема частей проекта. Это позволяет не только быстрее передать оценку заказчику, но сэкономить время работы всей presale команды.

Здесь проджект-менеджер должен задействовать в проекте как можно меньше человек и грамотно распределить между ними рабочие задачи, чтобы у всей команды была плотная загрузка. Тогда проект будет более рентабельным для агентства и обойдется дешевле для заказчика. На этом этапе тимлид и менеджер проекта собирают команду и детализируют трудозатраты по каждому из ее участников. В команду входят разработчики, тестировщики, дизайнеры и другие специалисты, причастные к работе над проектом.

Для детализированной оценки трудозатрат применяются следующие методы:

  • Оценка по аналогии. Менеджер проекта смотрит, сколько времени уходило на решение схожей задачи в каком-нибудь из прошлых проектов. Этот метод отличается от метода «сверху-вниз» более глубокой детализацией.

  • Экспертная оценка. При этом методе трудозатраты обозначает тимлид, а также члены будущей проектной команды. Специалисты изучают свои задачи и говорят проджекту, за сколько часов они справятся.

  • Параметрическая оценка. Метод схож с «оценкой по аналогии», но для уточнения расчетов применяются дополнительные параметры, свойственные именно этому проекту. Например, команде нужно будет интегрировать в сайт технологию, с которой они не работали. При этом, они работали с ее аналогом и могут примерно сказать, что эту технологию они будут подключать в полтора раза дольше.

  • Анализ предложений исполнителей. Этот метод используют в случаях, когда в составе команды нет подходящего специалиста. Например, программиста, который специализируется на разработке систем сквозной аналитики. Проектный менеджер подбирает исполнителей на аутсорсе и спрашивает у них, сколько времени и денег нужно на выполнение задачи.

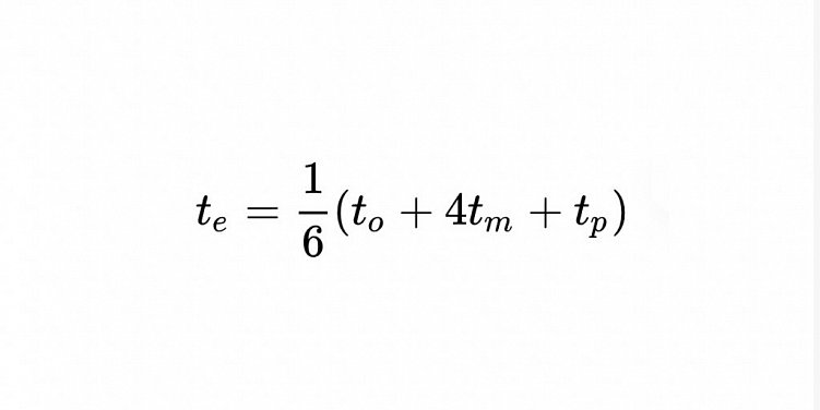
  • Оценка по трем точкам (метод PERT). Для оценки трудозатрат по этому мнению специалисты прикидывают время на решение задачи по пессимистичному, оптимистичному и реалистичному прогнозу. В оценку бюджета идет результат расчетов по специальной формуле.

Как рассчитать бюджет и сроки проекта на разработку, чтобы не выйти за рамки

Формула PERT, где: To — оптимистичное время; Tm — реалистичное время; Tp — пессимистичное время

Будет плюсом, если тимлид знает лично участников команды. Тогда он в курсе, кто часто бегает покурить и зависает в соцсетях, а кто генерирует код со скоростью ChatGPT. На основе этих данных менеджер проекта сможет привязать к участникам проектной группы дополнительные коэффициенты, которые покажут еще более реалистичную картину при разработке бюджета.

Важно: проектная команда может переживать, что если они заложат слишком много трудочасов на проект, заказчик от него откажется. Задача проджект-менеджера — «вытащить» из них настоящие трудочасы, потому что вероятность провала проекта куда больше, чем отказ от заказчика. Заказчик в принципе не может знать, сколько времени должно уйти на разработку.

Как рассчитать бюджет и сроки проекта на разработку, чтобы не выйти за рамки Читайте также: Что делать проджект-менеджеру чтобы эффективнее управлять проектами

3 этап. Определение окончательных границ и подготовка трекера бюджета проекта

После того, как известно примерное время на выполнение задач и стоимость работы команды, проектный менеджер определяет итоговые сроки проекта и бюджет. Чаще всего задачи переносятся на диаграмму Ганта — в ней удобно работать, поскольку все процессы команды нужно выстроить в единый таймлайн. Дело в том, что одни задачи не получится начать, пока не будут выполнены другие. Какие-то задачи будут требовать совместной работы программистов, а также их переговоров — это тоже следует учесть.

Как рассчитать бюджет и сроки проекта на разработку, чтобы не выйти за рамки

Пример диаграммы Ганта, взятый с сайта atlassian.com

Большинство зарубежных сервисов для управления проектами прекратили деятельность на территории РФ, но можно использовать отечественные аналоги. Например, «Битрикс24» и «Мегаплан» обладают нужным функционалом, в том числе поддержкой диаграмм Ганта. Еще больше сервисов для управления проектами мы собрали в статье «Лучшие российские планировщики задач, таск-менеджеры для бизнеса».

После детализированных расчетов проектному менеджеру известны крайние сроки и общее количество трудочасов специалистов. Только теперь он может добавить в бюджет проекта такие издержки, как аренду офиса, налоги и прочие «мелочи». После расчета стоимости со всеми издержками, проектный менеджер добавляет буфер — дополнительное время и средства, которые покроют возможные отклонения. Как правило, буфер — это добавочные 10 % к подсчитанным срокам и бюджету.

Также проектный менеджер должен учесть возможные риски: все то, что может помешать работе над проектом. К задачам по управлению рисками относится их выявление, оценка вероятности наступления риска, а также планирование ответных действий. Риском может быть все что угодно: от изменений в курсе валют до новой пандемии или попадания тимлида в аварию.

Как рассчитать бюджет и сроки проекта на разработку, чтобы не выйти за рамки

Процесс контроля рисков при управлении проектом. Изображение взято с сайта its.1c.ru

Все эти данные фиксируются в договоре, уставе проекта и сопроводительной документации. После того, как заказчик их согласует, начинается работа над проектом.

Как рассчитать бюджет и сроки проекта на разработку, чтобы не выйти за рамки Читайте также: Как сократить расходы в бизнесе: 17 возможностей оптимизации

Далее менеджеру нужно следить, чтобы работа шла по плану. Если он видит отклонения, он должен принимать своевременные меры, чтобы не выйти за рамки бюджета и сроков. После того, как проект окончен, менеджер и команда должны проанализировать результаты своей работы, чтобы определить сильные и слабые места, а также использовать эти знания в работе над новыми проектами.



Выскажите мнение
Авторизуйтесь, чтобы добавить свой комментарий.




7728

Лучшие статьи

Поделиться: 69 0 25